0
Skip to Content
AOLF
Survécu
Modus Ingenium
ABOUT
SHOP
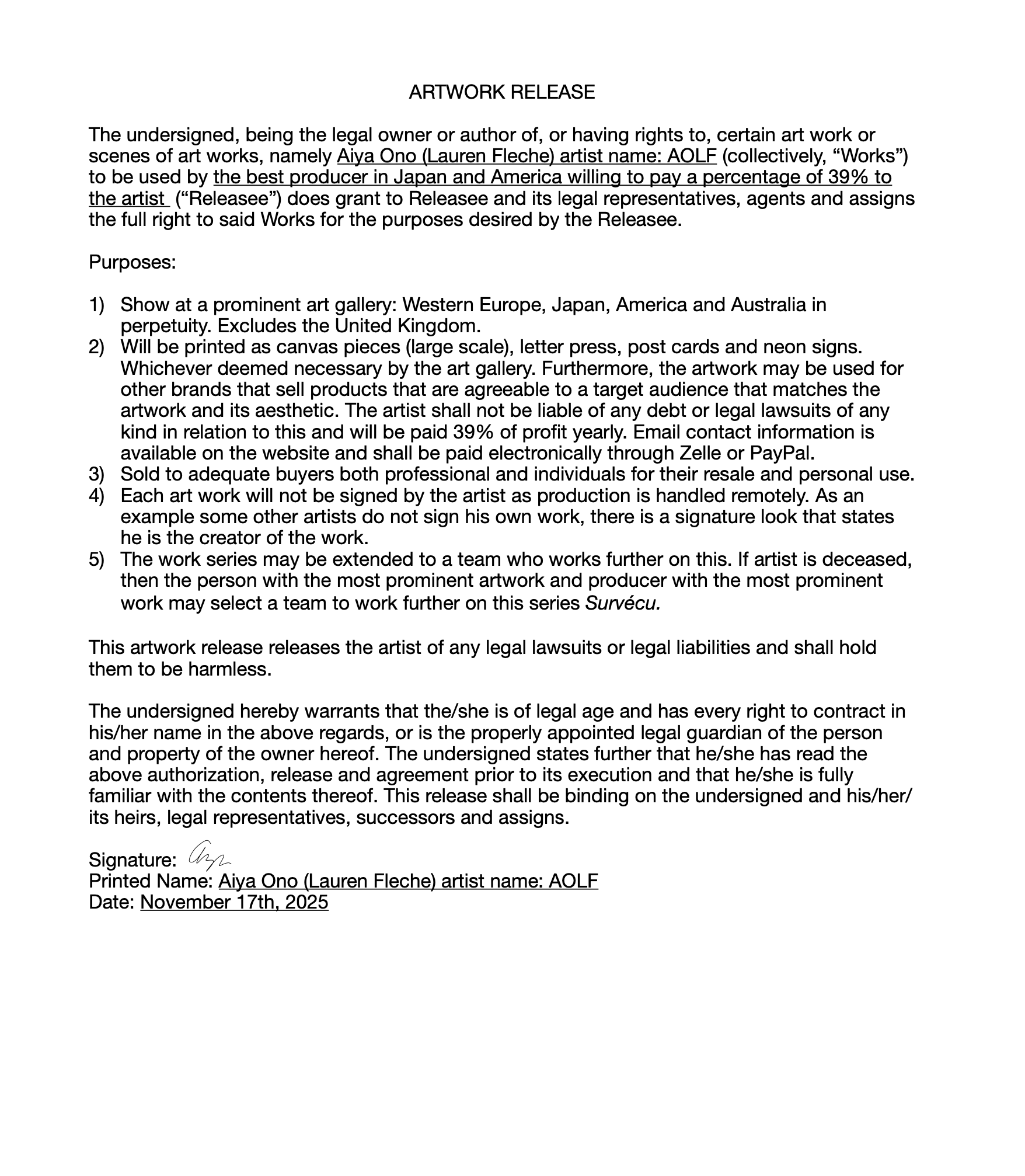
Artist Release Form
AOLF
Survécu
Modus Ingenium
ABOUT
SHOP
Artist Release Form
Survécu
Modus Ingenium
ABOUT
SHOP
Artist Release Form

MADE WITH SQUARESPACE

AOLF

All Images Created and Owned by AOLF. Please read the artist release form for instructions about re-producing these works.

Contact for t-shirts, post+cards, handmade Letter Press posters (26 x 35 inches) and canvas by AOLF!

Survécu the title is not to be confused with the French word in the dictionary and other relational subjects in the world. This is only for artwork by AOLF.